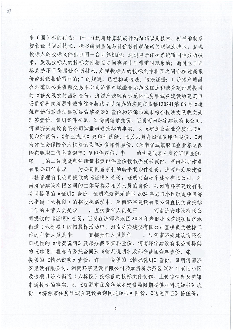
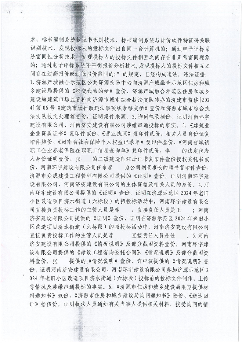
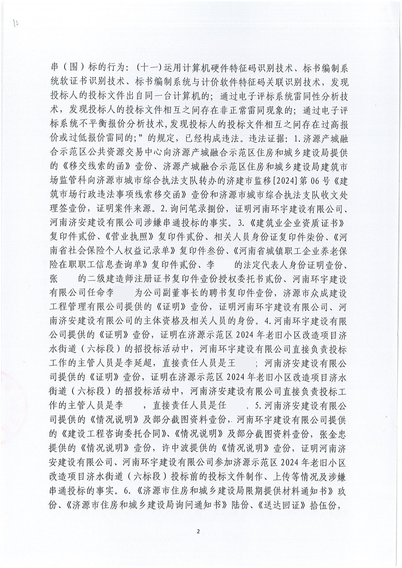
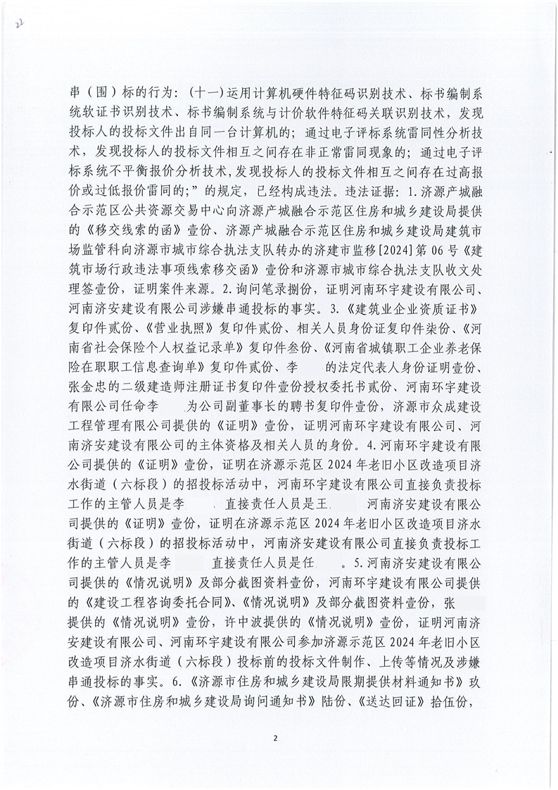
您的位置:
首页
>
联合奖惩
>
行政处罚决定及不良行为记录
已办结
正在办理
未开始或无数据
当前选择
济源市住房和城乡建设局行政处罚决定书济建管市监罚决字(2024)第008—01号
【信息时间:2025-09-02 阅读次数:
】
【
我要打印
】
区块链已存证
存证时间:
存证哈希值:
区块高度:
附件: